กำหนดการสอบปลายภาคเรียน ภาคเรียนที่ 1 ปีการศึกษา 2564
- 28 ก.ย. 2564 เวลา 14:17 น.
- 6,480

- Tweet

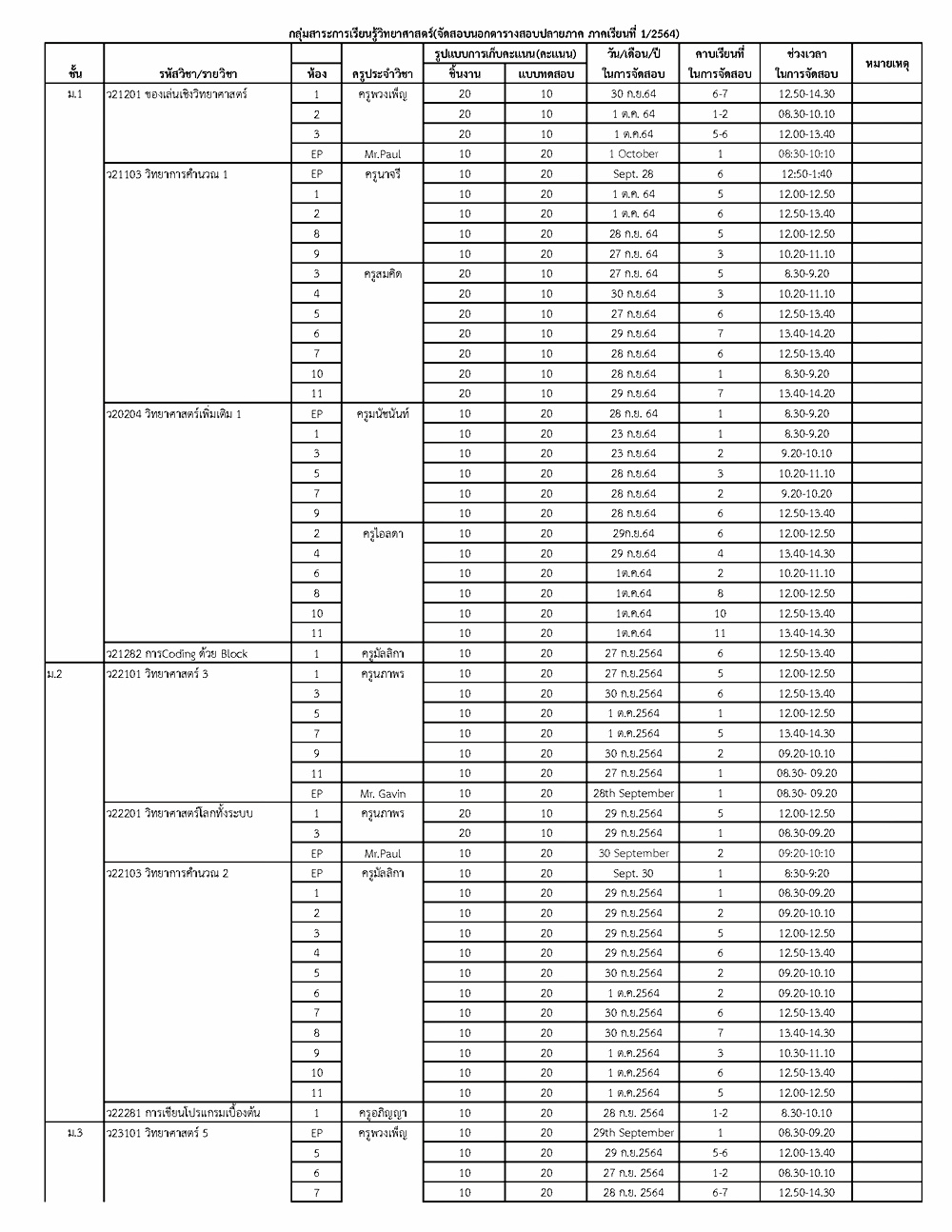
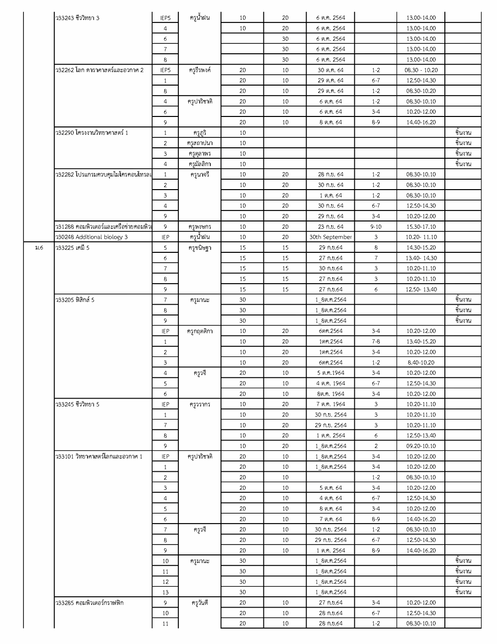
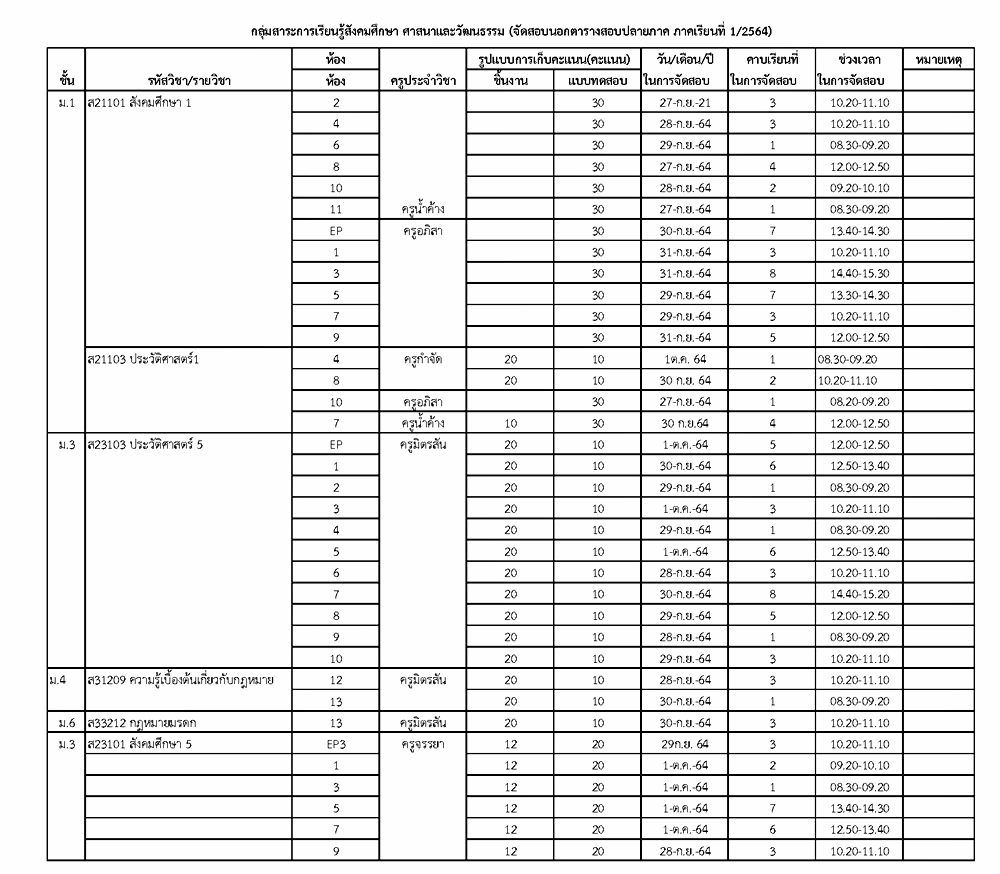
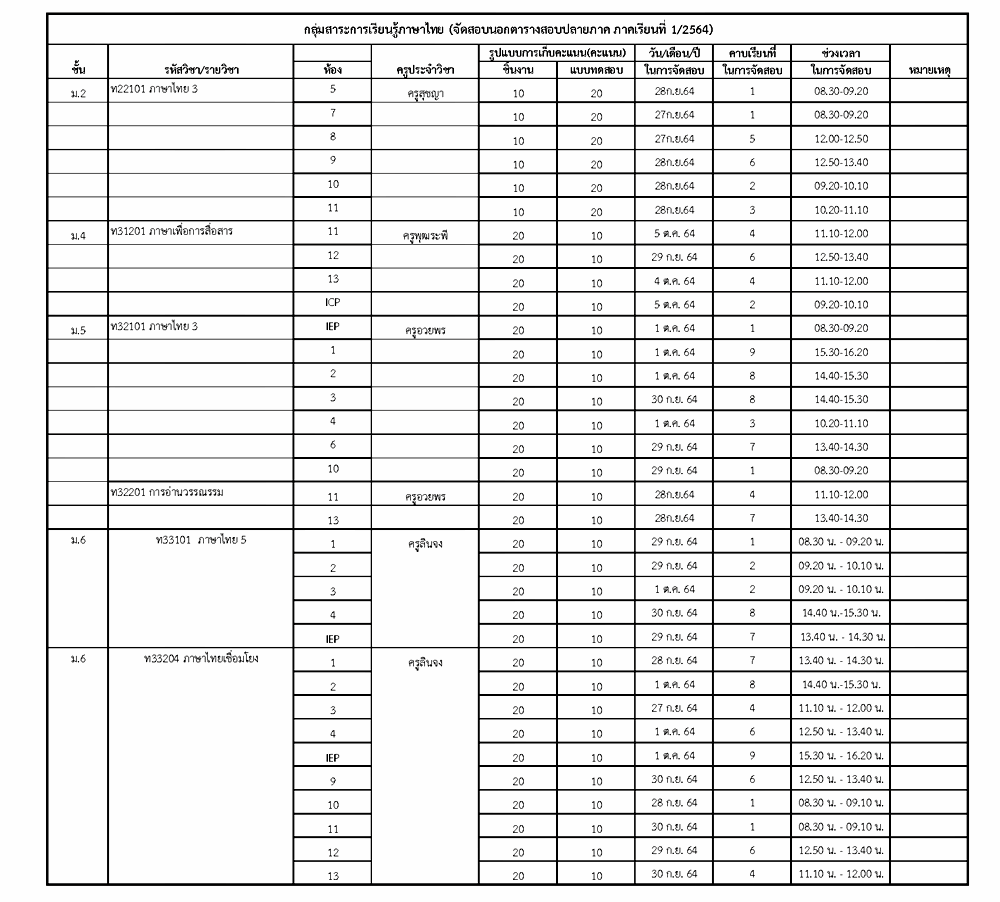
ในสถานการณ์การแพร่ระบาดของโรคติดเชื้อไวรัสโคโรนา 2019 ได้การสำรวจการวัดและประเมินผลการสอบปลายภาคเรียน โดยได้มีการกำหนด ตารางสอบ และ การสอบนอกตาราง ตามกลุ่มสาระการเรียนรู้ ดังนี้
วันที่ 4 ตุลาคม 2564 - กลุ่มสาระการเรียนรู้การงานอาชีพ และกลุ่มสาระการเรียนรู้ศิลปะ
วันที่ 5 ตุลาคม 2564 - กลุ่มสาระการเรียนรู้คณิตศาสตร์
วันที่ 6 ตุลาคม 2564 - กลุ่มสาระการเรียนรู้วิทยาศาสตร์และเทคโนโลยี
วันที่ 7 ตุลาคม 2564 - กลุ่มสาระการเรียนรู้สังคมศึกษา ศาสนาและวัฒนธรรม
วันที่ 8 ตุลาคม 2564 - กลุ่มสาระภาษาไทย
หมายเหตุ กลุ่มสาระการเรียนรู้ภาษาต่างประเทศ, กลุ่มสาระสุขศึกษาและพลศึกษา สอบนอกตาราง



























